이제 제법 날씨가 쌀쌀하다.
살짝 연말의 냄새가 바람에 흩날린다.
아직은 2019년이지만 2020년이 목전에 와 있음이 느껴진다.
이제 불과 1달 보름 남짓 남았을 뿐이다.
오늘은 2020 공무원 봉급표를 살펴본다.
2020년 공무원 봉급 인상률은 2.8%로 결정됐다.

이것을 바탕으로 2019 공무원 봉급표에 더한 예상표다.
[공무원 보수] 2016년 예산안. 군인 월급 15% 인상. 2016 공무원 봉급표는 얼마나 인상될까?
정부의 2016 예산안이 올해보다 3% 증액된 387조원으로 발표되었다.
주로 관심과 촛점이 맞춰진 것은 국방예산 증액이고 그중의 꽤 많은 재원이 군인 월급 15% 인상에 사용된다.
군인 월급이라고는 하지만 직업 군인의 월급이 15% 인상되는 것이 아니라 의무복무 중인 사병의 월급이 15% 인상되는 것이다.
봉급뿐 아니라 전방 근무 병사 수당이 50% 인상되고, 특전사 저공 낙하 수당도 40% 인상된다고 한다.

병장 월급이 17만원대에서 약 20만 원 수준까지 인상되는 수준이다.
병장 월급이 15만원이라고 해도, 연초비 제도가 없어지고 면세담배가 지급되지 않는 상황에서 흡연 병상의 경우 4500원짜리 담배를 매일 한 갑씩 태우면 1달에 담배값만 139500원을 쓰게 되는 물가의 시대에서 결코 많은 월급이 아닐 것이다.

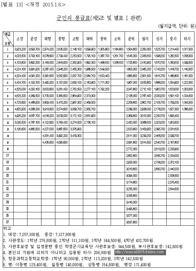
2015 군인 봉급표
아무튼 병사의 월급이 15%나 인상되는 마당에 직업 군인 월급도 제자리 걸음을 할 수는 없을 것이다.

직업 군인의 월급이 인상요인을 갖게 된다면, 당연히 일반 공무원의 급여 인상률 또한 동일한 비율로 인상되게 된다.
지금까지 공무원 직렬별로 인상률이 다르게 적용된 적은 없다.
아주 먼 과거에 공무원 보수를 현실화 하는 과정에서 조금씩 차등이 있었던 적이 있는지는 모르겠지만, 내가 관심을 가지고 지켜본 최근 5년 내에는 공무원 보수를 차등인상한 적은 없다.
물론 고위직 공무원 보수 인상에 대해서 인상후 반납 형식으로 동결한 적은 있다.

2014년대비 2015년의 병사 봉급 인상률도 15%였다.
이 기간의 공무원 봉급표는 3.8% 인상되었다.
물론 2012년대비 2013년 병사 봉급은 20%나 증액되었지만, 공무원 봉급은 같은 기간에 인상률이 2.8%에 그쳤다.
2014년 공무원 봉급 인상은 1.7%에 불과했다.
즉, 징병 대상 군인 봉급 인상률이 직업 군인 봉급표와 일반 공무원 봉급표와 비례해서 증가하지는 않는다.
하지만, 2015년 공무원 봉급표와 2016년 공무원 봉급표 인상 예상에 있어서 동일한 환경은 병사 봉급 인상뿐 아니라 2015년에 공무원 연금법 개정안이 발표되었다는 점이다.
공무원 연금법 개정 이전에는 공무원의 반발을 누그러 트리기 위해 최근 몇 년 동안 3% 미만 공무원 봉급 인상에서 3.8%라는 파격(?)적인 봉급 인상이 있었다.
2016년 공무원 봉급표 인상에서도 이런 부분이 충분히 고려 되지 않을까? 하는 예상을 해볼 수 있다.
물론 화장실 들어갈 때와 나올 때 다르다는 속담이 있어서 우려스럽기는 하다.
경기침체 등을 이유로 2015년 처럼 3.8%까지는 힘들겠지만 최소 3% 대 이상의 봉급 인상이 이뤄지지 않을까 조심스럽게 예측해본다.
3.0% 는 너무 티나니까 3.2% ~3.7% 사이에서 봉급 인상이 결정되지 않을까 예측해볼 수 있다.

기획재정부의 예산안 개요 자료에서는 아직 공무원 급여 인상에 대해서 세부적인 정보는 없지만, 교육일반 인건비 예산이 567억에서 623억으로 증액되어서 10% 가까이 증액되었는데, 봉급 인상뿐 아니라 신규 인력 임용 등에 투입될 수도 있어서 정확한 예측은 불가능하지만 상당폭 공무원 급여 인상에 반영되지 않을까 기대하게 된다.

R&D 연구 분야에서도 국립대학 인건비 등이 4조5천267억에서 4조 9천167억으로 8.6%가량 증액되었는데, 대학 구조조정 중인데 인력이 확충될 것으로 기대하지는 않으니 상당 부분 급여 인상에 사용되지 않을까 기대해볼 수 있다.
물론 8.6%가 고스란히 급여 인상으로 연결되지는 않겠지만 말이다.
'직장 경영 기업' 카테고리의 다른 글
| 2023년 공무원 호봉표 및 2023 교원 교사 월급 (0) | 2023.08.27 |
|---|---|
| 국민은행 ATM 이용시간과 수수료 및 위치 (0) | 2020.09.22 |
| 공무원 정근수당 계산법, 군인 명절휴가비 교사 상여금 (0) | 2020.01.02 |
| 2020년 연말정산 필요서류 연말정산간소화서비스 (0) | 2019.12.06 |
| 2018년 교육공무원 봉급표 2018년 교사 호봉표 (0) | 2017.12.08 |
목차
댓글